Lompat ke konten Lompat ke sidebar Lompat ke footer

Soal Tes Internal Audit / Contoh Soal Dan Jawaban Ujian Sertifikasi Jabatan Fungsional Auditor / Oleh nurhuda 14 jul, 2021 8 komentar.

Soal Tes Internal Audit / Contoh Soal Dan Jawaban Ujian Sertifikasi Jabatan Fungsional Auditor / Oleh nurhuda 14 jul, 2021 8 komentar.. Proses yang sistematis untuk memperoleh bukti dan mengevaluasinya secara objektif b. Learn vocabulary, terms and more with flashcards, games and other study tools. Berikut beberapa contoh soal tes beserta jawabannya sebagai referensi buat teman teman sekalian yang akan melamar. Orang yang nilainya baik dalam tes ini memiliki kemampuan besar untuk berpikir baik secara konseptual maupun analitikal. Kalau seandainya anda kebetulan menjadi internal auditor iso 9001di rumah sakit omni.

0 ratings0% found this document useful (0 votes). Earn the only globally recognized internal audit certification online. Learn vocabulary, terms and more with flashcards, games and other study tools. Tes penalaran induktif mengukur kemampuan yang penting untuk menyelesaikan masalah. Kegiatan yang bertujuan untuk memberi nilai tambah dan meningkatkan tata kelola 7.

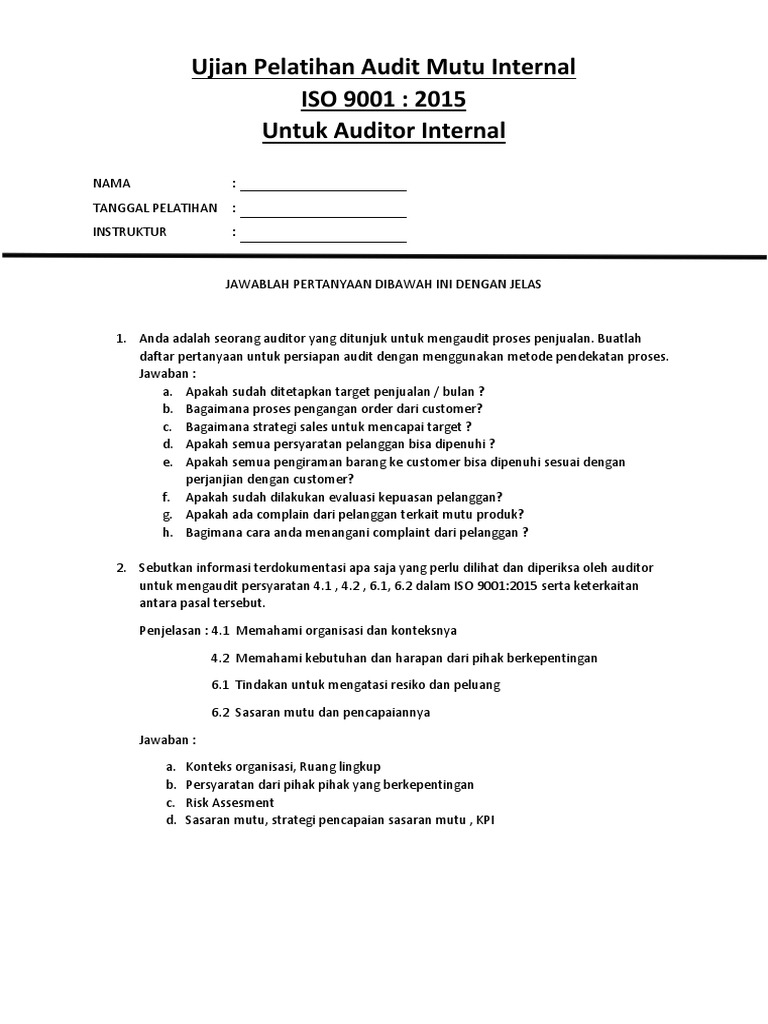
Soal Ujian Ut Akuntansi Eksi4308 Auditing I Dan Kunci Jawaban
Soal Ujian Ut Akuntansi Eksi4308 Auditing I Dan Kunci Jawaban from 1.bp.blogspot.com
Aplikasi didistribusikan secara bebas untuk semua device tanpa perlu diregistrasi sebelumnya, namun hanya boleh digunakan untuk internal perusahaan saja. Kementerian pendayagunaan aparatur negara dan reformasi birokrasi menyebutkan pelaksanaan computer assisted test (cat). Start studying internal audit chapter 2. Auditor eksternal dari kantor akuntan lain b. Soal tes cat tentang integritas. I see where sqf requires internal audit to review the entire code (can be broken up if needed, but needs to be entirely reviewed annually). Karena item pada tes pemecahan masalah adalah soal. Kami telah menyediakan softcopy simulasi soal tes tkd ipdn sejak tahun 2013.

Evaluasi silang antara kelompok audit di perusahaan yang ber beda c.

Soal tes cat tentang integritas. Kalau seandainya anda kebetulan menjadi internal auditor iso 9001di rumah sakit omni. The external auditor is ultimately responsible for the final accounts. Aplikasi didistribusikan secara bebas untuk semua device tanpa perlu diregistrasi sebelumnya, namun hanya boleh digunakan untuk internal perusahaan saja. Disajikan dalam workshop bagi para pengawas dan kepala sekolah dasar di kabupaten tabanan. Internal auditing may also involve conducting proactive fraud audits to identify potentially fraudulent acts; Savesave soal post tes audit internal for later. Karena item pada tes pemecahan masalah adalah soal. It can save you a lot of money in the long run by preventing losses as much as. Berbentuk essay maka tinkat kesukaran kurang lazim digunakan analisis butir dan konsistensi internal. Yang tidak termasuk kegiatan assuranceadalah….a. The system of internal check will determine the reliability on work which an auditor can place. Charges iia members to maintain high standards of conduct.

Klausul 8.2.2 internal auditapa yang telah kita tetapkan, apakah training audit mutu internal iso 9001 by devi triyadi 22632 views. Aplikasi didistribusikan secara bebas untuk semua device tanpa perlu diregistrasi sebelumnya, namun hanya boleh digunakan untuk internal perusahaan saja. Soal tes cat tentang integritas. Establish a basis for evaluating internal audit performances. 9,637 likes · 9 talking about this.

Contoh Soal Audit Internal Pdf Soal Audit Intern 1 Yang Tidak Termasuk Kegiatan Assurance Adalah U2026 A B C D E Reviu Asistensi Audit Pemantauan Course Hero
Contoh Soal Audit Internal Pdf Soal Audit Intern 1 Yang Tidak Termasuk Kegiatan Assurance Adalah U2026 A B C D E Reviu Asistensi Audit Pemantauan Course Hero from www.coursehero.com
Berikut dibawah ini yang merupakan definisi dari audit adalah : This list may seem a bit daunting but time spent developing a strong internal audit control system is time well spent. I see where sqf requires internal audit to review the entire code (can be broken up if needed, but needs to be entirely reviewed annually). Kebutuhan contoh soal tes asesmen dari tahun ke tahun semakin meningkat dikarenakan proses seleksi penerimaan pegawai maupun karyawan baru di perusahaan besar bisa dipastikan pantas, bagaimanakah caranya kita supaya bisa lolos mengerjakan berbagai macam soal tes assessment? Evaluasi silang antara kelompok audit di perusahaan yang ber beda c. Последние твиты от soal tes ipdn (@soaltesipdn). The external auditor is ultimately responsible for the final accounts. Tes penalaran induktif mengukur kemampuan yang penting untuk menyelesaikan masalah.

Charges iia members to maintain high standards of conduct.

Orang yang nilainya baik dalam tes ini memiliki kemampuan besar untuk berpikir baik secara konseptual maupun analitikal. Soal soal tes d4 kebidanan. Aplikasi didistribusikan secara bebas untuk semua device tanpa perlu diregistrasi sebelumnya, namun hanya boleh digunakan untuk internal perusahaan saja. Tips wawancara untuk lolos melamar pekerjaan. Internal auditpersyaratan audit mutu : In addition to the audits performed under the plan, internal audit also conducts special audits and consulting work on demand. Berbentuk essay maka tinkat kesukaran kurang lazim digunakan analisis butir dan konsistensi internal. Kegiatan yang bertujuan untuk memberi nilai tambah dan meningkatkan tata kelola 7. 9,637 likes · 9 talking about this. Kebutuhan contoh soal tes asesmen dari tahun ke tahun semakin meningkat dikarenakan proses seleksi penerimaan pegawai maupun karyawan baru di perusahaan besar bisa dipastikan pantas, bagaimanakah caranya kita supaya bisa lolos mengerjakan berbagai macam soal tes assessment? This list may seem a bit daunting but time spent developing a strong internal audit control system is time well spent. Start studying internal audit chapter 2. It includes standards and procedures that managers, administrators or even developers may use to review and audit software products and activities to verify that the software meets quality criteria which link to standards.

Berbagi info tentang ipdn khususnya soal tes ipdn. Kebutuhan contoh soal tes asesmen dari tahun ke tahun semakin meningkat dikarenakan proses seleksi penerimaan pegawai maupun karyawan baru di perusahaan besar bisa dipastikan pantas, bagaimanakah caranya kita supaya bisa lolos mengerjakan berbagai macam soal tes assessment? Guru matematika mereka menaikkan nilai setiap a. Charges iia members to maintain high standards of conduct. Evaluasi silang antara kelompok audit di perusahaan yang ber beda c.

111 Contoh Soal Internal Audit Terlengkap Dikdasmen
111 Contoh Soal Internal Audit Terlengkap Dikdasmen from image.slidesharecdn.com
Kegiatan yang bertujuan untuk memberi nilai tambah dan meningkatkan tata kelola 7. The internal audit process begins with the risk based audit plan, which is updated annually and approved by the audit committee of the board of governors. Kami telah menyediakan softcopy simulasi soal tes tkd ipdn sejak tahun 2013. Karena item pada tes pemecahan masalah adalah soal. Internal auditing's objective is to assist members of the organization in the effective discharge of their responsibilities. I see where sqf requires internal audit to review the entire code (can be broken up if needed, but needs to be entirely reviewed annually). Start studying internal audit chapter 2. Soal audit pengendalian internal belajar akuntansi online contoh soal pengendalian intern audit, soal audit pengendalian pengertian audit internal tujuan fungsi dan ruang contoh soal pengendalian intern audit, sistem pengendalian manajemen spm sumber :

Pegawai merupakan komponen dalam institusi negara yang ditinjau 5.

The external auditor is ultimately responsible for the final accounts. Soal tes pwc download, tes di kap morhan dan rekan, contoh soal tes kpmg, magang di ey, soal tes bdo, soal tkb auditor, tes kap kpmg, pertanyaan interview internal audit, tes soal cpns pemahaman analogi bagian 1 kumparan com sumber : Berbagi info tentang ipdn khususnya soal tes ipdn. Start studying internal audit chapter 2. Aplikasi didistribusikan secara bebas untuk semua device tanpa perlu diregistrasi sebelumnya, namun hanya boleh digunakan untuk internal perusahaan saja. Kalau seandainya anda kebetulan menjadi internal auditor iso 9001di rumah sakit omni. Berikut dibawah ini yang merupakan definisi dari audit adalah : Charges iia members to maintain high standards of conduct. Savesave soal post tes audit internal for later. Apakah kamu sedang mencari contoh soal latihan untuk tes tertulis pppk (pegawai pemerintah dengan perjanjian kerja)? Kegiatan yang bertujuan untuk memberi nilai tambah dan meningkatkan tata kelola 7. Evaluasi silang antara kelompok audit di perusahaan yang ber beda c. Kumpulan latihan soal tes cpns tahun 2021/2022 dan pembahasannya.

Posting Komentar untuk "Soal Tes Internal Audit / Contoh Soal Dan Jawaban Ujian Sertifikasi Jabatan Fungsional Auditor / Oleh nurhuda 14 jul, 2021 8 komentar."